1. The formula makes the equation of a straight line from a straight-line graph passing through the point (0,0). For more details can be seen graph below:
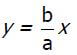
From the graph above, then the formula to make the equation of the line is:
Example:
Please determine the line equation from the graph below!
Answer:
a = 6
b = 4
So the line equation of the above graph is 3y = 2x.
2. The formula creates a straight-line equation of a straight-line graph that does not pass through a point (0,0). For more details can be seen graph below:
From the graph above, then the formula to make the equation of the line is:
Example:
Please determine the line equation from the graph below!
Answer:
a = 3
b = 4
bx + ay = ab
4x + 3y = 3 . 4
4x + 3y = 12
So the line equation of the above graph is 4x + 3y = 12.
Similarly this article.
Sorry if there is a wrong word.
The end of word wassalamualaikum wr. wb
Referensi :
- To'Ali's book math group accounting and sales
Jika ingin bertanya secara privat, Silahkan hubungi no 085709994443 dan untuk berkomentar silahkan klick link di bawah ini 👇
